An electrical transformer is one of the most important devices in modern power systems. It changes voltage levels. It facilitates the transmission of electricity over long distances and ensures it is safe for use in homes and industries.
Without transformers, power grids would not work efficiently. Energy loss would be very high. Equipment could also be damaged due to incorrect voltage.
In this complete guide, you will learn everything about electrical transformers, including:
- Definition and basic concept
- Working principle and formula
- Components and structure
- Types of transformers
- Applications in real life
- Efficiency and losses
Looking for high-quality electrical transformers?
👉Contact us today for a fast quote and expert support.
Table of Contents
- What Is an Electrical Transformer
- Why Electrical Transformers Are Important
- How Does an Electrical Transformer Work
- Main Components of an Electrical Transformer
- Types of Electrical Transformers
- Applications of Electrical Transformers
- Advantages of Electrical Transformers
- Transformer Losses and Efficiency
- How to Choose the Right Transformer
- FAQs About Electrical Transformers
- Conclusion
1.What Is an Electrical Transformer
An electrical transformer is a static electrical device. It transfers electrical energy between circuits using electromagnetic induction.
Its main purpose is:
👉 to increase or decrease voltage levels without changing frequency
Transformers are used in:
- Power transmission systems
- Distribution networks
- Industrial applications
- Renewable energy systems
Key Characteristics
- Works with AC only
- No moving parts
- High reliability
- Long service life
- High efficiency
Simple Definition
An electrical transformer is a device that converts voltage from one level to another while keeping the same frequency.
You can learn more about the electrical transformer definition from this detailed transformer basics guide.
2.Why Electrical Transformers Are Important
Electrical transformers are very important in modern power systems. They help to control voltage, improve energy efficiency, and make electricity transmission possible. Without electrical transformer, it is very difficult to deliver electricity in safe and efficient way.
Reduce Power Loss in Transmission
One main reason why transformers are used is to reduce energy loss.
Electricity usually need travel long distance from power plant to cities. If voltage is low, the current will become high. High current will create more heat in the wires.
👉 This is based on the formula:
Power Loss = I²R
By using an electrical transformer, the voltage can be increased to high level. When voltage is higher, current becomes lower. Lower current means less heat loss. This improve the power transmission efficiency.
👉 That is why step-up transformer is used in transmission system.
Enable Safe Voltage Levels
Different devices require different voltage level. Homes and equipment cannot use high transmission voltage directly.
Electrical transformers help to reduce the voltage before electricity reach end users.
For example:
- High voltage → transformer → low voltage
This process make electricity safe for daily use.
👉 So step-down transformer is very important in distribution network.
Improve Power System Efficiency
Transformers help reduce energy waste in the system. They also improve efficiency.
Main benefits include:
- Reduce transmission losses
- Improve voltage stability
- Better system performance
For industries, this means:
More stable power supply
Lower electricity cost
Support Renewable Energy Systems
Electrical transformer connect all parts of the power system together.
They are used in:
- Power generation stations
- Transmission lines
- Substations
- Distribution systems
Without transformer, these systems cannot work properly.
👉 In simple way:
No transformer means no stable power system
Provide Electrical Isolation and Safety
Another important function of transformer is electrical isolation.
Isolation transformers can separate circuits. This improve safety.
Benefits include:
- Protect people from electric shock
- Protect equipment
- Improve reliability
This is important in:
- Hospitals
- Industrial machines
- Sensitive devices
Ensure Stable Voltage and Power Quality
Electrical transformers help keep voltage stable.
Unstable voltage can damage equipment and cause system problems.
Transformers help to:
- Maintain voltage level
- Reduce voltage fluctuation
- Improve power quality
Summary Table: Importance of Electrical Transformers
| Function | Benefit |
|---|---|
| Voltage conversion | Safe electricity use |
| Power transmission | Reduce energy loss |
| System connection | Stable power system |
| Renewable support | Clean energy usage |
| Electrical isolation | Better safety |
Looking for reliable electrical transformers?
👉 Contact us today to get best solution and price.
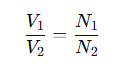
3.How Does an Electrical Transformer Work
This section explains the core principle of electrical transformers.
Working Principle of Transformer
A transformer works based on electromagnetic induction.

Where:
- V1 = primary voltage
- V2 = secondary voltage
- N1 = primary turns
- N2 = secondary turns
Step-by-Step Working Process
- AC voltage is applied to the primary winding
- Current creates a magnetic field
- Magnetic flux flows through the core
- Secondary winding receives induced voltage
Step-Up vs Step-Down Transformer
| Type | Function | Example |
|---|---|---|
| Step-up | Increase voltage | Power transmission |
| Step-down | Decrease voltage | Home supply |

4.Main Components of an Electrical Transformer
An electrical transformer has several important components. Each part plays a key role in voltage transformation and power transfer. Understanding these transformer components is very important when selecting the right equipment.
In simple words, all parts work together to ensure the transformer operate safely and efficiently.
Transformer Core
The transformer core is one of the most important parts. It provides a path for magnetic flux.
The core is usually made of laminated silicon steel. Laminated design helps reduce energy loss caused by eddy currents.
Main functions of transformer core:
- Carry magnetic flux
- Reduce energy loss
- Improve efficiency
Without a good core, the transformer cannot work properly.
Transformer Windings
Windings are coils wrapped around the core. They are usually made of copper or aluminum.
There are two main windings:
- Primary winding (input side)
- Secondary winding (output side)
When AC current flows through the primary winding, it creates magnetic field. This magnetic field induces voltage in the secondary winding.
Insulation System
The insulation system is very important for safety. It prevents short circuit between windings and other parts.
Different types of insulation are used, such as:
- Paper insulation
- Oil insulation
- Resin insulation
Good insulation will:
- Protect transformer from failure
- Increase service life
- Improve reliability
If insulation is not good, transformer may fail very quickly.
Transformer Tank
The transformer tank is the outer body of the transformer. It holds the core and windings inside.
For oil immersed transformer, the tank is filled with insulating oil.
Functions of transformer tank:
- Protect internal components
- Prevent contamination
- Provide mechanical support
Cooling System
Transformers generate heat during operation. Cooling system is needed to remove this heat.
Common cooling methods include:
- Oil cooling (ONAN, ONAF)
- Air cooling (for dry type transformer)
Good cooling system helps:
- Maintain temperature
- Prevent overheating
- Extend transformer life
Transformer Bushings
Bushings are used to connect internal windings to external circuits.
They allow current to pass safely through the transformer tank without causing electrical failure.
Key features:
- High insulation strength
- Mechanical support
- Safe current transfer
Conservator and Breather
In oil-filled transformers, a conservator tank is used to store oil expansion.
The breather is used to control moisture entering the transformer.
Functions:
- Maintain oil level
- Prevent moisture contamination
- Improve transformer reliability

5.Types of Electrical Transformers
There are many types based on function and design.
Based on Voltage Function
- Step-up transformer
- Step-down transformer
- Isolation transformer
Based on Application
- Power transformer
- Distribution transformer
- Instrument transformer
Based on Cooling Method
| Type | Cooling Method |
|---|---|
| Oil-filled | Oil cooling |
| Dry-type | Air cooling |
👉 Not sure which transformer fits your project? Contact us for professional advice.
6.Applications of Electrical Transformers
Electrical transformers are used everywhere in modern power systems. They play a key role in power transmission, distribution, industrial processes, and renewable energy systems. Without transformers, electricity cannot be delivered safely or efficiently to homes, offices, and factories.
Transformers are also used to adjust voltage, improve power quality, and protect electrical devices. They are essential for almost every part of the power grid.
Power Transmission
Transformers are widely used in high-voltage power transmission.
- Step-up transformers increase voltage from power plants.
- High voltage reduces current and minimizes energy loss over long distances.
- Step-down transformers reduce voltage before electricity reaches cities or industrial areas.
This makes power transmission efficient and safe.
Industrial Applications
Factories and heavy industries require stable and high-capacity power. Transformers help meet this need.
- Power transformers supply large machines.
- Distribution transformers provide electricity to different sections of a factory.
- Isolation transformers protect sensitive equipment from voltage spikes.
Industries using transformers include:
- Manufacturing plants
- Steel mills
- Chemical processing facilities
- Mining operations
Commercial Buildings
Transformers are also essential for everyday buildings.
- Step-down transformers provide low voltage for offices, malls, and hospitals.
- Dry type transformers are preferred indoors because they do not use oil.
- Transformers maintain voltage stability to protect electrical devices and lighting systems.
Benefits:
- Safe electricity for occupants
- Reduced power fluctuation
- Long-lasting equipment
Renewable Energy Systems
Transformers play a crucial role in solar, wind, and energy storage systems.
- They connect solar inverters or wind turbines to the main grid.
- Step-up transformers increase voltage for transmission from renewable sources.
- Step-down transformers adjust voltage for local use.
This ensures clean, stable, and efficient electricity delivery from renewable sources.
Transportation Systems
Electrical transformers are also used in transportation infrastructure.
- Railways: Transformers supply power for electric trains.
- Airports: Transformers provide stable power for terminals and navigation systems.
- Metro and subway systems rely on transformers for reliable electricity.
Utility Substations
Substations use transformers to regulate voltage levels in local power networks.
- Step-up transformers for transmission lines.
- Step-down transformers for distribution lines.
- Isolation transformers to protect sensitive equipment in substations.
Substations ensure reliable electricity supply for cities and industrial areas.

Our oil immersed transformers are designed with advanced cooling and insulation systems for industrial applications.
👉For more details, you can explore this on transformer.
7.Advantages of Electrical Transformers
Electrical transformers provide many advantages in modern power systems. They are essential devices for power transmission, distribution, and industrial applications. Using transformers helps to improve efficiency, safety, and reliability of electricity supply.
Without transformers, delivering electricity safely and efficiently would be very difficult.
High Energy Efficiency
One of the main advantages of an electrical transformer is high energy efficiency. Most modern transformers have efficiency between 95% to 99%.
- Step-up transformers reduce current during transmission, which lowers energy loss.
- Step-down transformers provide appropriate voltage to end users with minimal waste.
This saves energy and reduces electricity cost for industries, commercial buildings, and homes.
Voltage Conversion
Transformers can increase or decrease voltage levels as needed.
- Step-up transformers increase voltage for long-distance transmission.
- Step-down transformers reduce voltage for safe use in homes and offices.
Voltage conversion is crucial for both power transmission and electrical device protection.
Safe Power Distribution
Electrical transformers provide safe and stable electricity.
- Step-down transformers reduce high voltage to safe levels.
- Isolation transformers separate circuits to protect equipment and people.
- Voltage regulation prevents damage from spikes and fluctuations.
This is very important in residential, commercial, and industrial applications.
Support for Renewable Energy Systems
Transformers are widely used in solar, wind, and hybrid energy systems.
- Step-up transformers connect solar panels or wind turbines to the grid.
- Step-down transformers adjust voltage for local use.
- They ensure stable and clean power for homes and industries.
Long Lifespan and Low Maintenance
Electrical transformers have long service life, typically 20–30 years.
- Oil transformers need occasional oil checks and cooling maintenance.
- Dry type transformers need periodic inspection of insulation and connections.
- Proper maintenance ensures reliability and reduces operation cost.
Improve Power Quality and System Stability
Transformers help maintain voltage stability and improve power quality.
- Reduce voltage fluctuations
- Protect sensitive equipment
- Support grid reliability and energy efficiency
8.Transformer Losses and Efficiency
No transformer is perfect.
Types of Losses
| Loss Type | Description |
|---|---|
| Copper Loss | Heat due to current |
| Core Loss | Magnetic loss |
| Leakage Loss | Flux escape |
Efficiency of Transformer
Efficiency formula:
Efficiency = Output / Input × 100%
Most transformers achieve:
👉 95%–99% efficiency
Transformer performance is often evaluated based on IEEE transformer standards.
9.How to Choose the Right Electrical Transformer
Key Factors
- Voltage rating
- Power capacity (kVA)
- Cooling method
- Installation environment
- Application type
Example Table
| Application | Recommended Transformer |
|---|---|
| Factory | Oil immersed transformer |
| Building | Dry type transformer |
| Solar system | Distribution transformer |
Need help choosing a transformer?
10.FAQs About Electrical Transformers
Q1: What is an electrical transformer used for?
An electrical transformer is used to change voltage levels in AC power systems. It can increase voltage (step-up) or decrease voltage (step-down).
Transformers are used in:
- Power transmission and distribution
- Industrial machinery
- Renewable energy systems
- Commercial buildings
👉 Related product: Check our Dry Type Transformers for indoor and commercial use.
Q2: How does an electrical transformer work?
A transformer works using electromagnetic induction. AC current in the primary winding creates a magnetic field. This magnetic field induces voltage in the secondary winding.
The voltage depends on the turns ratio of the windings. Step-up transformer increases voltage, step-down transformer reduces voltage.
Q3: Can a transformer work with DC?
No. Transformers require AC (alternating current) to operate. DC (direct current) does not create changing magnetic field, so no voltage is induced.
For DC systems, devices like DC-DC converters are used instead.
Q4: What are the main types of electrical transformers?
There are many types:
- Step-up transformer – increases voltage for transmission
- Step-down transformer – decreases voltage for end users
- Isolation transformer – separates circuits for safety
- Power transformer – high voltage, high capacity
- Distribution transformer – supplies homes and businesses
👉 Related product: Explore our Oil Immersed Transformers for industrial applications.
Q5: What are the main components of a transformer?
A transformer has:
- Core – magnetic flux path
- Windings – primary and secondary
- Insulation – prevent short circuits
- Tank – protection for components
- Cooling system – remove heat
- Bushings – connect internal circuits to external circuits
Good components ensure safe, reliable, and long-lasting operation.
Q6: How long do transformers last?
Most transformers last 20–30 years if properly maintained. Oil transformers need oil checks and cooling maintenance. Dry type transformers need regular inspection of insulation and connections.
Proper maintenance increases lifespan and improves energy efficiency.
Q7: Can transformers be used in solar or wind energy systems?
Yes. Electrical transformers are essential for renewable energy. They:
- Adjust voltage from solar inverters to match grid
- Step up voltage from wind turbines for transmission
- Ensure stable, efficient, and safe power flow
Q8: How do I choose the right transformer for my project?
You should consider:
- Voltage rating
- Power capacity (kVA)
- Installation environment (indoor / outdoor)
- Cooling method (air / oil)
- Application type (industrial / commercial / renewable)
👉 Contact our experts to select the best electrical transformer for your project.
Q9: What are common problems with transformers?
- Overheating
- Oil leakage (for oil transformers)
- Voltage fluctuations
- Insulation failure
Regular inspection and maintenance can prevent most problems.
11.Conclusion
An electrical transformer is essential for modern energy systems. It ensures efficient power transmission. It allows safe electricity usage.
From power grids to renewable energy, transformers are everywhere.
