Descripción
We are a professional manufacturer and supplier of S11 M 1250KVA Oil Immersed Transformador, offering high-quality three phase oil immersed transformers directly from our factory. This page provides genuine 1250kVA oil type transformers ready for purchase, complete with premium transformer oil, tested technical specifications, and optional customization.
Buyers can request a quotation, technical consultation, or order directly from us, ensuring reliable power distribution solutions for industrial, commercial, and utility applications. As a trusted oil transformer supplier, this page is designed for transactions, not just informational purposes, so you can confidently source your S11 1250KVA Oil Transformer from the manufacturer.
S11 M 1250KVA Oil Immersed Transformer

This image highlights the S11 Series 35kV Three-Phase Transformer, particularly the S11-M-1250kVA oil-immersed type, manufactured and delivered directly from our production plant. As an established manufacturer and supplier specializing in oil-immersed transformers, we engineer this transformer to serve the rigorous demands of medium-voltage substations, industrial power setups, renewable energy plants, and public electricity distribution grids.
The S11-M-1250kVA three-phase double-winding oil-immersed transformer is built with a non-excitation voltage adjustment design, which maintains consistent voltage delivery and dependable performance across varying electrical loads. This configuration suits it for continuous operation even in challenging environmental conditions.
The unit is fully impregnated with premium-grade insulating oil, delivering superior thermal management, increased insulation durability, and comprehensive safeguarding of internal parts. These features contribute to prolonged operational life and minimized upkeep needs. Designed to meet IEC and applicable regional utility standards, this 1250kVA oil-filled transformer offers low idle loss, quiet operation, and high energy performance — all contributing to reduced long-term running expenses for users.
As a direct factory source for oil-type transformer solutions in the 1250kVA range, we ensure consistent product quality, adaptable customization support, and dependable technical assistance. That makes the S11-M-1250kVA oil-immersed transformer a trusted option for EPC contractors, power distribution companies, and industrial clients in search of a robust, efficient, and durable three-phase oil-immersed transformer solution.
Model Meaning Diagram

This image offers a structured and detailed breakdown of the model naming system for the S11-M-1250kVA oil-immersed transformer. This allows purchasers, EPC contractors, and project engineers to grasp all essential technical parameters swiftly and accurately prior to procurement. Through deciphering the model designation, clients can verify that the transformer aligns completely with their voltage specifications, capacity needs, and compliance standards, thereby minimizing the risk of specification mismatch in electrical distribution projects.
The model identifier of the S11-M-1250kVA transformer encapsulates several vital technical attributes in a standardized format.
El rated voltage (kV) determines its suitability within specific power distribution networks, while the 1250kVA rated capacity denotes its power transmission capability for medium-scale industrial and utility applications.
El “M” designation signifies a fully sealed, maintenance-friendly oil-immersed construction, which helps inhibit oil degradation and supports durable, stable operation.
The numeral “11” indicates an enhanced performance tier, reflecting higher energy efficiency and lower no-load losses in accordance with contemporary energy conservation standards.
The initial “S” identifies it as a three-phase transformer, designed for balanced power supply in commercial, industrial, and grid-connected environments.
As an experienced manufacturer and supplier of S11-M-1250kVA oil-immersed transformers, we adhere closely to internationally accepted naming conventions and technical norms. This standardized model classification enhances technical clarity, streamlines engineering dialogue, and enables buyers across global markets to effectively evaluate and compare specifications for various project requirements. Our transparent and consistent model coding system facilitates smoother collaboration with EPC firms, power utilities, renewable energy installations, and industrial end-users worldwide, ensuring that each transformer we deliver is accurately suited to its designated operational role.
Parameters

This image presents the complete technical parameters of the S11-M-1250kVA oil-immersed transformer. Key specifications include rated capacity, voltage combinations, connection symbols, high-voltage tapping range, no-load loss, load loss, no-load current, and short-circuit impedance. These parameters are optimized through advanced core design and high-performance insulating oil, ensuring both energy efficiency and reliable operation under demanding grid conditions.
The transformer’s low no-load and load losses contribute to reduced long-term operating costs, while its robust design supports stable performance in varied electrical environments. Each unit is engineered to comply with international standards, delivering consistent power quality and enhanced short-circuit withstand capability.
Detailed technical documentation accompanies every transformer, providing clear guidance for system integration, performance evaluation, and lifecycle management. This transparency supports informed decision-making for projects across utilities, industry, and infrastructure applications.
Product Drawing

The outline drawing displays clear physical dimensions. It shows the S11-M-1250kVA oil-immersed transformer structure. Front and top views illustrate two configurations. We created these drawings as the original manufacturer. Our technical diagrams assist engineering teams directly. They enable accurate foundation design planning. Cable routing layouts become more precise.
We provide exact measurements and specifications. This approach minimizes installation mistakes significantly. It lowers risks during construction phases. Timely project completion becomes more achievable. Our 1250kVA transformers serve substation applications perfectly. They power industrial facilities effectively. Utility networks rely on our equipment. Each installation maintains full safety standards.
Aplicaciones

This image demonstrates the S11-M-1250kVA oil-immersed transformer in typical application scenarios. It reliably powers commercial centers and transportation hubs. The transformer also serves airports and subway stations efficiently. High-rise buildings depend on its stable performance.
As a trusted manufacturer and supplier, we deliver continuous power solutions. Our transformers meet high load demands effectively. They fulfill strict reliability requirements consistently. The design ensures robust operation in critical conditions.
High-quality transformer oil enhances insulation performance. Fully sealed construction prevents external contamination. These features support safe long-term operation. Energy efficiency remains high across varying loads.
Our oil-immersed transformer maintains voltage stability reliably. It minimizes energy losses during continuous operation. Industrial facilities benefit from uninterrupted power supply. Public infrastructure operates with enhanced reliability.
We supply factory-direct S11-M-1250kVA transformers globally. Each unit delivers consistent reliable performance. Long service life reduces replacement frequency. All products comply with international standards fully.
After-Sales Service

This image explains the product classification clearly. It shows the S11-M-1250kVA transformer’s applications. The unit serves medium and high-voltage networks effectively. We supply this three-phase transformer professionally. It supports transmission and distribution systems reliably. Substations use this model for step-down operations. Battery energy storage systems integrate it seamlessly.
The transformer also enables distributed energy resources. It powers commercial buildings efficiently. Residential complexes benefit from its performance. Transportation infrastructure relies on its stability. Industrial facilities operate continuously with it. Our oil-immersed design ensures stable performance. It delivers extended service life consistently. Varying load conditions maintain reliable operation.
Certifications

This certification image confirms that the S11 M 1250KVA oil immersed transformer is manufactured in compliance with IEC and relevant international standards. As an established oil immersed transformer manufacturer and supplier, we conduct routine tests, type tests, and factory inspections on every oil transformer 1250kva before shipment. These certifications demonstrate our commitment to quality, safety, and reliability, giving customers confidence when sourcing a 1250kva oil type transformer directly from the factory.
Cooperación global

This image captures successful cooperation between our management team, engineers, and international clients during project negotiations for the S11 M 1250KVA oil immersed transformer. It reflects our experience as a global oil immersed transformer supplier and manufacturer, exporting Three Phase Transformers to overseas markets for substations and industrial power projects. These real business interactions strengthen trust and clearly signal to Google and buyers that we are a factory-based supplier offering commercial S11 M 1250KVA transformer solutions, not an informational website.
Get your S11 1250KVA Oil Transformer directly from the manufacturer today. Contact us now for a quotation, technical consultation, or customized three-phase oil immersed transformer solutions. Ensure reliable power distribution, premium transformer oil 1250kva, and factory-direct support for your industrial or commercial project.
Preguntas frecuentes
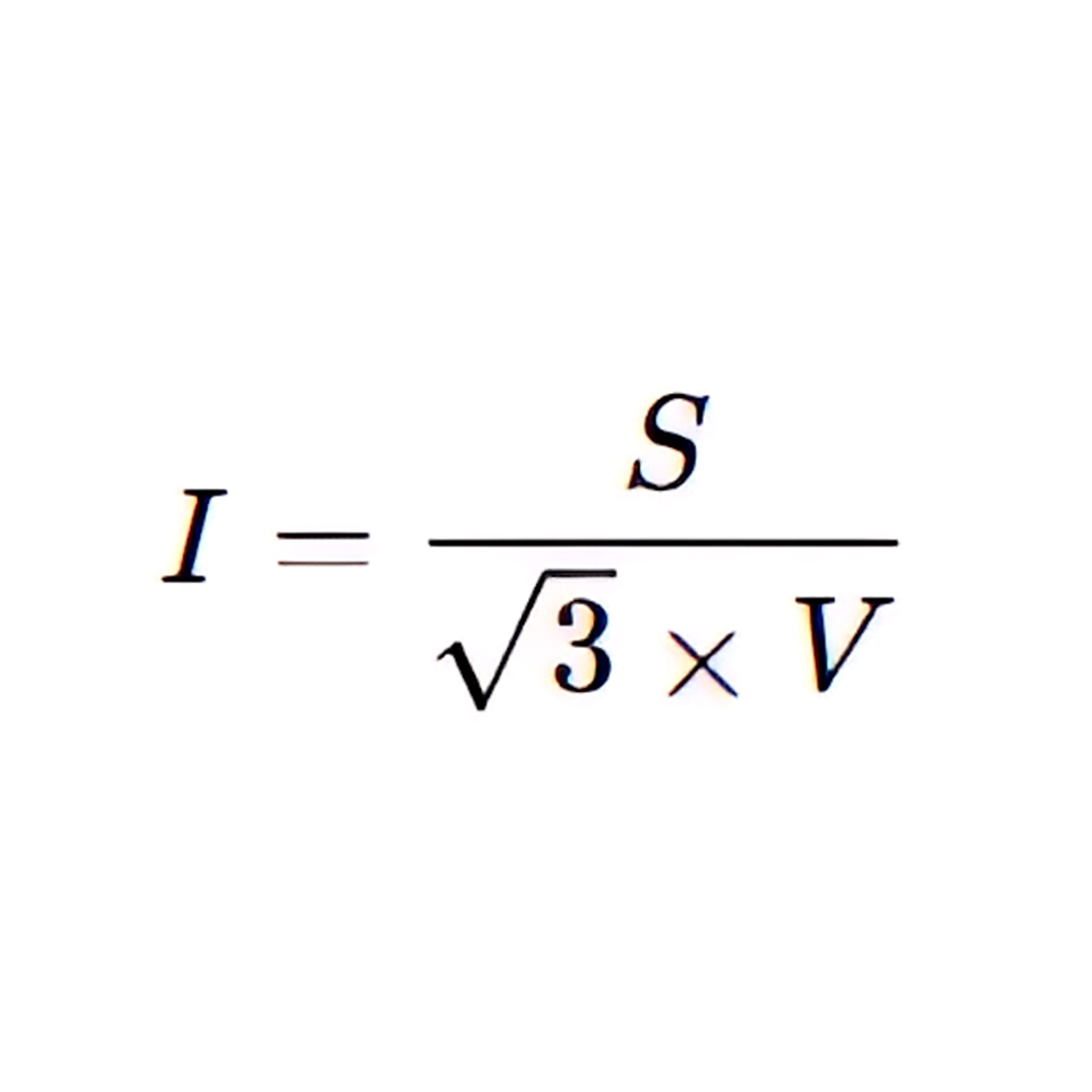
FAQ 1: What is the current rating of a 1250 kVA transformer?
El current rating of a transformer depends on its applied voltage. For a 1250 kVA transformer, the rated current can be calculated using the formula:

Where:
I = rated current (A)
S = transformer rated power in kVA (1250 kVA)
V = line-to-line voltage (V)
For example, if the high-voltage side is 35 kV:

And if the low-voltage side is 0.4 kV:

As a manufacturer and supplier of S11 M 1250KVA oil immersed transformers, we can provide customized solutions for different voltage levels while maintaining reliable performance and safety. We test all our 1250kVA oil-type transformers for rated current, short-circuit strength, and thermal stability to ensure long-term operation.
FAQ 2: What is an oil immersed transformer?
An oil immersed transformer is a type of transformador de potencia in which the core and windings are immersed in transformer oil. The oil acts as:
Aislamiento eléctrico – prevents short circuits and leakage currents.
Cooling medium – transfers heat from the transformer windings to the tank and radiator to prevent overheating.
El S11 M 1250KVA oil immersed transformer uses high-quality transformer oil 1250kva, ensuring excellent insulation, efficient cooling, and rendimiento confiable even under heavy load or fluctuating voltage conditions.
Oil immersed transformers are widely used in substations, industrial plants, and commercial buildings, providing stable three-phase power distribution. As a trusted supplier and manufacturer of 1250kVA transformers, we deliver fully tested and certified oil type transformers with long service life and optional customization according to your project needs.
FAQ 3: What are the main features of the S11 M 1250KVA oil immersed transformer?
El S11 M 1250KVA transformer features a three-phase double-winding design, non-excitation voltage regulation, low noise, and low loss. It is fully sealed with premium transformer oil 1250kva to enhance insulation and cooling performance.
As a direct manufacturer and supplier, we ensure that every 1250kVA oil type transformer meets international standards and performs reliably in medium-voltage and high-voltage applications, including substations, industrial plants, and commercial facilities
FAQ 4: Where can the 1250kVA oil transformer be applied?
El S11 M 1250KVA oil immersed transformer is widely used in medium-voltage and high-voltage networks, substations, step-down stations, battery storage systems, commercial centers, airports, high-rise buildings, and transportation hubs.
As a professional Three Phase Transformer supplier, we provide factory-direct 1250kVA transformers designed for industrial, commercial, and residential power distribution projects, ensuring stable voltage, strong short-circuit resistance, and long operational life
FAQ 5: How do I maintain an S11 M 1250KVA oil type transformer?
Maintaining a 1250kVA oil-immersed transformer involves regular inspections. First, check the transformer oil levels routinely. Next, examine the unit carefully for any leaks. Continuously monitor its operating temperature during use. Also, verify that insulation resistance meets safety standards consistently.
We provide clear maintenance guidance and full support for these procedures. Our assistance covers all routine testing and inspection steps thoroughly. Following these practices maintains transformer efficiency effectively. Your S11-M-1250kVA unit will operate safely and reliably for many years.
FAQ 6: What certifications does the S11 M 1250KVA transformer have?
We manufacture our S11-M-1250kVA oil-immersed transformers to comply with IEC and ISO international standards. Each unit undergoes strict type tests, routine tests, and factory inspections before shipment.
As a direct oil transformer 1250kva supplier, we ensure that every 1250kVA oil type transformer meets safety, quality, and reliability requirements for global distribution and industrial applications
FAQ 7: How can I purchase or inquire about the 1250kVA oil transformer?
You can contact us directly as the manufacturer and supplier of S11 M 1250KVA transformers to request a quotation, technical consultation, or customization options.
We provide competitive transformer oil 1250kva prices, fast delivery, and after-sales support including installation guidance, spare parts, and warranty services. Choosing a direct supplier ensures you receive authentic, certified Three Phase Transformers optimized for your power distribution needs








Reseñas
Aún no hay reseñas.